FLASHPOINT MICHIGAN — WILDFIRE USA: Macomb County, Michigan — A shocking breach of the American Justice System’s Integrity has come to Light: — Hundreds of Non-citizens, including Illegal Aliens, were discovered in Macomb County’s Jury Pools. This Alarming Finding, revealed by County Clerk Anthony Forlini, exposes an Urgent Threat to the Rule of Law, Democratic Processes, and Public Safety. The American People is watching closely. JUSTICE — or the lack thereof — may very well be a Determining Factor of the 2026 Midterm Elections. But no American Citizen will have JUSTICE before this Disaster is cleaned up.
On January 12, County Clerk Anthony Forlini disclosed that 239 Non-citizens had infiltrated the Jury Pool for the 16th Judicial Circuit Court. These individuals were drawn from the Secretary of State’s Driver’s License Database — a system woefully deficient in verifying Citizenship. Non-citizens summoned for Jury Duty not only defy the Law but fundamentally undermine the Fairness of Trials that decide the fate of innocent Americans.

Even more disturbing: —Cross-referencing revealed 15 of these Non-citizen jurors had been registered to vote, with one person casting multiple ballots. This type of Election Fraud constitutes a Felony and threatens the Integrity of the democratic functions of the American Republic.
Probability Analysis: How Widespread is the Problem?
With approximately 55 Million Illegal Immigrants estimated to be residing in the United States, let us examine the Likelihood that Jury Pools across the Country are contaminated.
Assumptions:
- Total U.S. Population: Approximately 330 Million
- Illegal Immigrant Population: Approximately 55 Million
- Average Jury Pool Size: 100 Individuals (a Conservative Estimate)
- Uniform Distribution of Illegal Immigrants within the Population (Simplification)
- Random and Unbiased Jury Pool Selection (simplification)
Calculation:

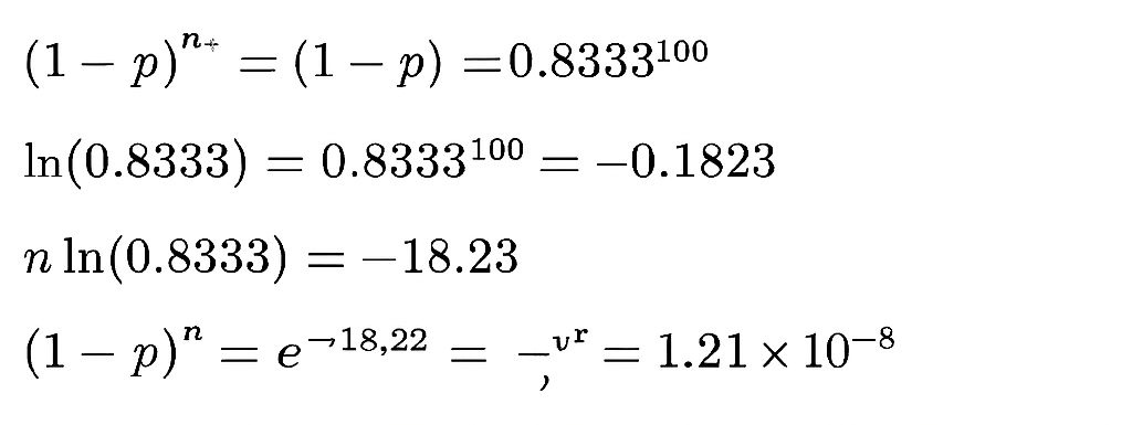
Probability a Random Person is not an Illegal Immigrant:

Probability that at least One Person in a Jury Pool of 100 Persons is an Illegal Immigrant:

Result:
The Probability that at least One Illegal Immigrant is included in a Jury Pool of 100 Individuals is effectively
99.999999579%

The Implications: A Systemic Threat to Justice and the Republic
SHOCKING AS IT IS — Even with a more Conservative estimate of a Total of 55 Million Illegal Immigrants nationwide,
the Probability that any Average-sized Jury Pool contains at least One Illegal Immigrant remains essentially 100%. This confirms that Contamination of Jury Pools by Illegal Aliens is not a rare Anomaly but a Pervasive, Systemic Issue likely seen all across the Nation.
Dire Consequences: Innocent Punished, Guilty Freed
The Consequences of this Contamination are dire and far-reaching. Innocent Defendants face the grim Prospect of Wrongful Conviction by Juries tainted with Ineligible Participants who may be Biased, Uninformed, or Unaware of American Legal Principles. Conversely, Guilty Criminals might escape Punishment, fueled by Compromised Juries incapable of delivering Impartial Verdicts.
This Miscarriage of Justice risks eroding Public Trust in Courts and Law Enforcement at a Foundational Level.
Accountability and Reform: The Call to Action
Michigan Secretary of State — the resident Comrade — Jocelyn Benson downplays the Scale of the Problem, but the Facts Demand Immediate Action. As my Calculation above shows, this Dangerous Development can and should only be EMPHASIZED!
The Failure to properly link Citizenship Data between Databases is a glaring Vulnerability in safeguarding American Elections and Judicial Trials.
Forlini’s Solution is Clear: —Leverage Modern Technology to verify Citizenship rigorously and prevent Non-citizens from infiltrating Voter Rolls and Jury Pools. Language Barriers and Administrative Oversights cannot serve as Excuses when Lives, Liberties, and the Democratic Process of the Republic hang in the Balance.

Conclusion: Defending Sovereignty and the Rule of Law
This is not a mere Bureaucratic Oversight — it is a Direct Threat to the Sovereignty and Safety of Every Single American citizens.
The American Justice System must reject any Illegal Influence and enforce Strict Eligibility to preserve the Sanctity of Jury Duty.
U.S. Elections demand Inviolable Accuracy in Voter Registration to prevent Foreign Interference.
Americans deserve Transparency, Accountability, and Uncompromising Protection of their Rights!
It is time for Lawmakers and Officials — NOT TO RECKLESSLY DOWNPLAY THIS DANGER LIKE MICHIGAN’S COMRADE BENSON DOES — but to act decisively against Illegal Alien Contamination in every Corner of the U.S. Civic Institutions.
The Future of American Justice and the democratic Processes of the Republic depends on it!



![Bone-Chilling: Endi Bala’s Vile Attempted Child Kidnapping Exposes America’s Open Borders Nightmare [VIDEO]](https://norwayfortrump.com/wp-content/uploads/2026/02/endi-bala.jpg?w=1024)

Leave a comment